Introduction to Graphs
What Is a Graph?
Picture a kid sketching a simple map. They draw a few dots for places — home, grandma’s house, the park — then add lines for the roads that connect them. Now the same idea shows up on a desk lamp: dots for bulbs, lines for wires. At a birthday party, dots are the kids, and you draw a line between any two who already knew each other.
A graph is just that picture: points (vertices) and the lines that connect them (edges). It is a neat way to show what is connected to what, no matter the story behind the dots and lines.
Why Does It Matter for Kids?
Classic work by Swiss developmental psychologists Jean Piaget and Bärbel Inhelder shows that before kids master segments, angles, and measurement, they first grasp broader spatial ideas: near and far, connected and separate, inside and outside. These topological notions appear in preschool and form the base for later spatial and geometric thinking.
Many teachers met graphs through Øystein Ore’s book, Graphs and Their Uses, which bridges abstract graph theory and the world of kids. The book presents graphs as a way to describe roads and bridges, electric circuits, handshakes, routes, and games, not as a list of formulas.
Research also shows that even young kids can work with the idea of a graph as points linked by lines. When they trace paths, connect houses with bridges, or draw who is friends with whom, they are already using core graph ideas. In studies where kids searched for short paths, connected nodes, or found cycles, they tested guesses, spotted patterns, and explained their reasoning. Lessons were stronger when two adults were present, one leading and one observing, so they could compare notes afterward.
In short, graph thinking grows naturally from the way kids explore connections. It supports early problem solving and prepares them for later topics across math, science, and computing.
How Do We Teach?
We start with the simplest action: connect two points with a line. Kids can connect numbers in order, or draw a line from a toy car to its garage. Not every set of connections can be drawn without crossings, so we sometimes need a “bridge” that lets paths pass without blocking each other. Mathematicians have proved that some graphs cannot be drawn in the plane without edges crossing. For example, it is impossible to connect each of three houses to each of three fountains without a crossing.
Another important example is when each point is connected to every other point. This is a complete graph. Kids can count the number of edges in the complete graph on three, four, or more vertices.
Two graphs are the same (isomorphic) if the same pairs of vertices are connected. You may stretch edges or move vertices around, but you cannot cut edges or add new vertices or edges. To check whether two graphs are isomorphic, kids can compare how many edges come out of each vertex and try to match the vertices of the two graphs.
In many problems it helps to sketch a graph even if the statement did not mention one. A clean diagram often makes the solution much easier to see.
First Steps
Connecting Points
The first idea kids meet is making connections. For instance, connect each kid to their dog with a leash, or figure out which animal is linked to a strawberry.

Algorithms
Backwards reasoning
Connections can be set up in different ways. You can ask kids to connect points in numerical order — that is also a graph. They may remember similar picture puzzles where a surprising image appears after connecting many points in order. A playground version shows up in hopscotch, where you jump from square to square by number.
Sometimes there are different ways to reach the same place, and each route can have a different cost, so you need to find the cheapest or the most expensive one.
Some connection patterns are too tangled to draw without crossings. That is why roads sometimes need overpasses and bridges so cars can move safely without waiting. Our tasks also include paths with little bridges.
A famous result says that if you try to connect each of three houses to each of three fountains, some paths must cross. This is a classic example of a nonplanar graph, one that cannot be drawn in the plane without edges crossing.

Graphs
Number sequence (up to 5)

Algorithms
Mazes

Routes and mazes
Complete the road

Graphs
Statements about graphs
Deep Understanding
Connect Each to Each: The Complete Graph
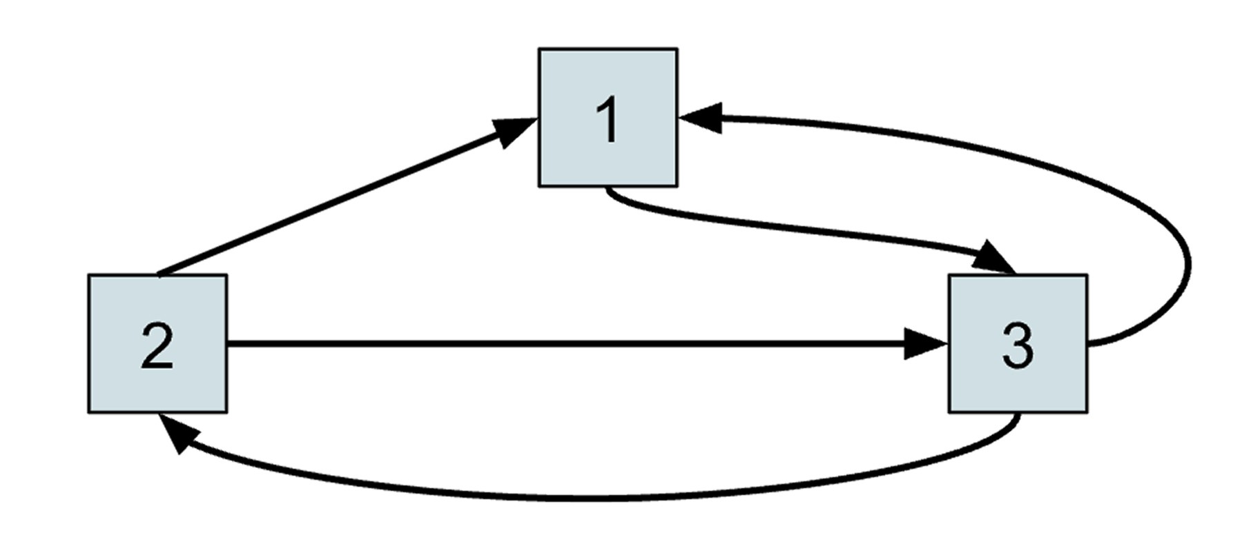
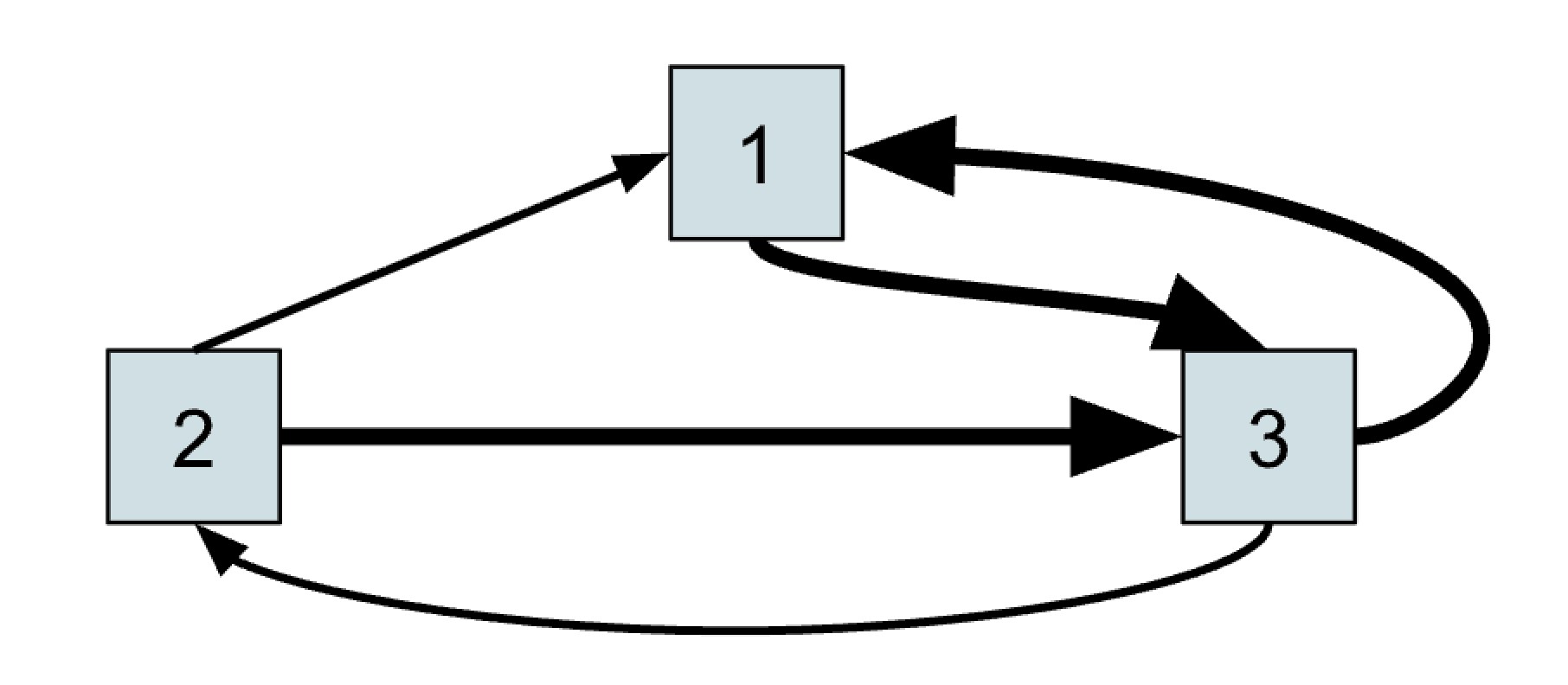
In a complete graph, every vertex is connected to every other vertex. In other words, any two vertices are joined by an edge.
For example, if three friends shake hands with one another, how many handshakes happen? Imagine they simply hold hands in pairs making a triangle. That is the complete graph on three vertices. Three kids are the vertices, and the handshakes are the three edges.

Graphs
Edges of a graph
Connecting each to each is not always trivial. If four devices must all connect to one another, each device connects to three others, for a total of 6 wires. You can draw these wires flat on paper, but a symmetric picture in space looks like a triangular pyramid, a tetrahedron.
The phrase “connect each device to one another” can confuse kids: they may think each device connects to just one other device. It is clearer to say “each to all the others.” For instance, to draw all diagonals from one vertex of a polygon, you connect that vertex to every other vertex except its two neighbors, which are already joined to it by sides.
If three girls make cards for one another, how many cards are there in total? There are three connections among three points, but the answer is six because each connection produces two cards, one in each direction.

Graphs
Statements about graphs

Graphs
3D graphs

Graphs
Polygons

Graphs
Edges of a graph
Confident Mastery
Identical Graphs
Graphs are called identical, or isomorphic, if you can transform one into the other without changing which vertices are connected and which are not.
For example, a yellow vertex might be connected to four gray ones, three, or two. These are different graphs with one yellow and four gray vertices.

Graphs
Find the same garland
There is only one complete graph on three vertices, the triangle — all such drawings are isomorphic. The complete graph on four vertices is also unique up to isomorphism: it always has 4 vertices and 6 edges. The layout may look different, but the underlying connections are the same.
In our Skill Races timed challenges, kids guess which of two options is isomorphic to a given graph. If they choose incorrectly, the graphs transform so it becomes clear which ones match and which do not. For example, three graphs might all look like the letter T, but in one picture the red point sits at the junction, and in another it is at the end. The isomorphic ones are the pair where the junction is at the end in both.
To decide whether two graphs are isomorphic, it often helps to find a vertex with the largest number of incident edges. If one graph’s largest degree is 3 and the other’s is 4, they cannot be isomorphic.

Graphs
Recognize graphs: garlands with up to 4 bulbs

Graphs
Recognize graphs: garlands with up to 4 bulbs

Simple graphs
Recognize graphs: garlands with 5 or more bulbs

Graphs
Recognize graphs
Graphs in Action
Sometimes a problem does not mention graphs at all, but drawing one can make the problem much easier to solve.
A good example is a puzzle about fitting pieces. Kids often solve this kind of puzzle by trial and error, but let’s look at a mathematical solution using a directed graph, where the points are connected by arrows rather than plain lines.

Graphs
Puzzle challenge
In the main picture above, the first and last pieces of the line are already in place. The first piece has 2 pegs and the last piece has 3 holes.
Below, we see five more pieces and need to choose three of them. Each piece represents a transition from one number of pegs to another. For example, the first one goes from 3 to 2 pegs: 3→2. Let’s look at the pieces and list the five allowed transitions we have: 3→2, 3→1, 1→3, 2→1 and 2→3. Now we can draw a graph showing all five of these transitions.

Here each arrow shows the piece we can choose. We need to build a chain of three arrows that starts at 2 and ends at 3. From the starting 2 we can go either to 1 or to 3.

If we go to 1, we can then go only to 3, and from there only to 2. So along this route we get just one chain, 2→1→3→2. But we need to finish at 3.

So the first step has to be 2→3, and the chain we are looking for is 2→3→1→3.

It is easy to see that this is the only possible chain. Translated back to the original puzzle, this means there is exactly one way to complete the line so that every piece fits its neighbors.

Graphs
Puzzle challenge
Big ideas
Graphs will keep showing up. In chemistry, atoms in a molecule are drawn as little spheres with bonds as lines. In physics, graphs represent electric circuits. In biology, they show food webs in ecosystems. In history and social studies, we draw family trees and role diagrams. Many subjects use mind maps, with a central idea surrounded by related concepts.
In middle and high school, and especially in advanced math, kids meet a variety of graph problems. They may count edges in a complete graph (the handshake problem), or show that in a road system where exactly five roads leave each city, the number of cities must be even. In other tasks, they compute the travel cost from one point to another when each road has a known price — a scaled-up version of real logistics.
A kid-friendly classic is to draw a picture in one stroke, visiting each edge exactly once. Swiss mathematician Leonhard Euler studied this systematically in the Bridges of Königsberg puzzle, which led to the idea of an Eulerian cycle. Computers can check this efficiently — the number of steps is only a few times larger than the number of vertices.
A closely related challenge is the traveling salesperson problem: “Given a list of cities and the distances between each pair of cities, what is the shortest possible route that visits each city exactly once and returns to the origin city?"а In the worst case, the best general methods still end up checking an enormous number of possibilities. If someone discovered a truly fast, polynomial-time algorithm for the traveling salesperson problem and others like it, modern cryptography would be shaken, because many common protections would no longer be secure. Most experts suspect no such algorithm exists, but there is no proof either way.
When engineers design printed circuit boards, components are linked by conductive tracks. Each connection is an edge in a graph. Some layouts cannot be drawn on a single flat layer without lines crossing. To handle this, engineers route tracks on both sides of the board, top and bottom, putting some connections on one side and the rest on the other. Graphs that can be drawn without crossings on two layers are called biplanar. There are multilayer versions as well, and for any given graph you can ask how many layers are needed to realize it.